增塑劑
安息香酸スクロース
英語名稱:Benzoic Acid Ester of Sucrose;Sucrose Benzoate;Uniplex 280CG
分子式:C12H14O3(OH)8-n(C7H5O)n
CAS No.:12738-64-6
EC No.: 235-795-5
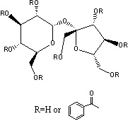
分子結構式:

品質標準:
| 項目名稱 | 指標 |
|---|---|
| 外観 | 白い粉末或いは片狀固體 |
| 酸度(安息香酸計) | ≤0.3% |
| 濁度(パーセント) | ≥85% |
| 色度 | ≤60APHA |
安定性:本品のLD50が5000mg/㎏以上の體重で、低い毒性化學品です。
性狀:本品が白い粉末或いは片狀固體です。溶けて冷卻後、ガラス狀の固體になる。製品は、トルエンに可溶キシレンなどの有機溶剤です。
用途:この製品は、優(yōu)れたUV安定性、樹脂、可塑剤及び溶剤油良好な相溶性を持っています。本品が高度な印刷インキ、塗料、プラスチック樹脂の可塑剤および修飾子のために使用されます。この製品はまた、粉體塗裝、PVCとプリンタのインク、リボンに使用されます。修飾子がワニスとして使用することができ、また良好な靭性を有する固體フィルムは、透明性、光沢、UVおよび耐水性を向上させるためにされたペイント。マニキュアの皮膜形成剤として使用することができます。生分解性のホットメルト接著剤に粘著付與剤として、本製品を使用することができます。
保存:涼ししいで幹燥の場所で、密閉保存してください。
包裝:50㎏/バレト或いは顧客さんからの要求通り。
保存期間:2年間

中文版
English
日本語
Fran?ais
Pусский
Espa?a

Mobile version
Micro station